A hidden property of the iron-sulfur protein in the mononuclear iron-bound state: species-dependent structural ordering induced by magnetic fields.

Arai S, Soga S, Hirai M, Kobayashi R, Masai H, Kimura K, Maeda K, Nagashima H
FEBS J (2025 Dec 30)
PMID: 41466526
doi: 10.1111/febs.70377
Submitted to SASBDB: 2024 Jun 6
Published in SASBDB:

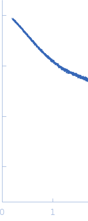
SASDVB3 – Mononuclear iron bound form of pigeon ISCA1 under geomagnetic condition

Pigeon iron-sulfur cluster assembly 1 homolog, mitochondrial experimental SAS data
DAMMIN model
Sample: Pigeon iron-sulfur cluster assembly 1 homolog, mitochondrial, 15 kDa Columba livia protein
Buffer: 20 mM Tris-HCl, 0.15 M NaCl, 10 mM 3-mercapto-1,2-propanediol, pH: 8
Experiment: SAXS data collected at BL-10C, Photon Factory (PF), High Energy Accelerator Research Organization (KEK) on 2021 Jun 8
RgGuinier 2.7 nm
Dmax 7.2 nm
VolumePorod 39 nm3

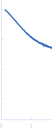
SASDUF9 – Mononuclear iron bound form of pigeon ISCA1 under 180 mT magnetic field for 60min

Pigeon iron-sulfur cluster assembly 1 homolog, mitochondrial experimental SAS data
Pigeon iron-sulfur cluster assembly 1 homolog, mitochondrial Kratky plot
Sample: Pigeon iron-sulfur cluster assembly 1 homolog, mitochondrial, 15 kDa Columba livia protein
Buffer: 20 mM Tris-HCl, 0.15 M NaCl, 10 mM 3-mercapto-1,2-propanediol, pH: 8
Experiment: SAXS data collected at BL-10C, Photon Factory (PF), High Energy Accelerator Research Organization (KEK) on 2021 Jun 8
RgGuinier 2.8 nm
Dmax 10.5 nm
VolumePorod 85 nm3

SASDUG9 – Mononuclear iron bound form of human ISCA1 under geomagnetic field

Human Iron-sulfur cluster assembly 1 homolog, mitochondrial experimental SAS data
DAMMIN model
Sample: Human Iron-sulfur cluster assembly 1 homolog, mitochondrial, 14 kDa Homo sapiens protein
Buffer: 20 mM Tris-HCl, 0.15 M NaCl, 10 mM 3-mercapto-1,2-propanediol, pH: 8
Experiment: SAXS data collected at BL-10C, Photon Factory (PF), High Energy Accelerator Research Organization (KEK) on 2024 Apr 29
RgGuinier 4.1 nm
Dmax 16.4 nm
VolumePorod 105 nm3

SASDUJ9 – Mononuclear iron bound form of human ISCA1 under 180 mT magnetic field for 60 min

Human Iron-sulfur cluster assembly 1 homolog, mitochondrial experimental SAS data
Human Iron-sulfur cluster assembly 1 homolog, mitochondrial Kratky plot
Sample: Human Iron-sulfur cluster assembly 1 homolog, mitochondrial, 14 kDa Homo sapiens protein
Buffer: 20 mM Tris-HCl, 0.15 M NaCl, 10 mM 3-mercapto-1,2-propanediol, pH: 8
Experiment: SAXS data collected at BL-10C, Photon Factory (PF), High Energy Accelerator Research Organization (KEK) on 2023 Dec 1
RgGuinier 3.0 nm
Dmax 11.2 nm
VolumePorod 66 nm3

SASDVA3 – Iron-free pigeon ISCA1 under geomagnetic field

Pigeon iron-sulfur cluster assembly 1 homolog, mitochondrial experimental SAS data
Pigeon iron-sulfur cluster assembly 1 homolog, mitochondrial Kratky plot
Sample: Pigeon iron-sulfur cluster assembly 1 homolog, mitochondrial, 15 kDa Columba livia protein
Buffer: 20 mM Tris-HCl, 0.15 M NaCl, 10 mM 3-mercapto-1,2-propanediol, pH: 8
Experiment: SAXS data collected at BL-10C, Photon Factory (PF), High Energy Accelerator Research Organization (KEK) on 2021 Nov 1
RgGuinier 3.6 nm

SASDUK9 – Iron-free pigeon ISCA1 under 180mT magnetic field for 60 min

Pigeon iron-sulfur cluster assembly 1 homolog, mitochondrial experimental SAS data
Pigeon iron-sulfur cluster assembly 1 homolog, mitochondrial Kratky plot
Sample: Pigeon iron-sulfur cluster assembly 1 homolog, mitochondrial, 15 kDa Columba livia protein
Buffer: 20 mM Tris-HCl, 0.15 M NaCl, 10 mM 3-mercapto-1,2-propanediol, pH: 8
Experiment: SAXS data collected at BL-10C, Photon Factory (PF), High Energy Accelerator Research Organization (KEK) on 2021 Nov 1
RgGuinier 3.9 nm

SASDUH9 – Mononuclear iron bound form of human ISCA1 under 180 mT magnetic field for 1 min

Human Iron-sulfur cluster assembly 1 homolog, mitochondrial experimental SAS data
Human Iron-sulfur cluster assembly 1 homolog, mitochondrial Kratky plot
Sample: Human Iron-sulfur cluster assembly 1 homolog, mitochondrial, 14 kDa Homo sapiens protein
Buffer: 20 mM Tris-HCl, 0.15 M NaCl, 10 mM 3-mercapto-1,2-propanediol, pH: 8
Experiment: SAXS data collected at BL-10C, Photon Factory (PF), High Energy Accelerator Research Organization (KEK) on 2023 Dec 1
RgGuinier 2.9 nm
Dmax 8.8 nm
VolumePorod 55 nm3