Comparative analysis of heparine oligosaccharides, heparin and heparan sulphate

Adriana Erica Miele.

SASDN64 – Heparin oligosaccharide DP12 in 50 mM Tris/HCl, 120 mM CaCl2, pH 7.4

Heparine oligosaccharide of 12 sugar units (6 disaccharides), digested by Heparinase I from purified HP glycosaminoglycan
MWI(0) 4 kDa
MWexpected 4 kDa
log I(s) 7.70×100 7.70×10-1 7.70×10-2 7.70×10-3
Heparine oligosaccharide of 12 sugar units (6 disaccharides), digested by Heparinase I from purified HP glycosaminoglycan small angle scattering data  s, nm-1
ln I(s)
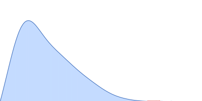
Heparine oligosaccharide of 12 sugar units (6 disaccharides), digested by Heparinase I from purified HP glycosaminoglycan Guinier plot ln 7.70×100 Rg: 1.5 nm 0 (1.5 nm)-2 s2
(sRg)2I(s)/I(0)
Heparine oligosaccharide of 12 sugar units (6 disaccharides), digested by Heparinase I from purified HP glycosaminoglycan Kratky plot 1.104 0 3 sRg
p(r)
Heparine oligosaccharide of 12 sugar units (6 disaccharides), digested by Heparinase I from purified HP glycosaminoglycan pair distance distribution function Rg: 1.5 nm 0 Dmax: 6.8 nm

Data validation


There are no models related to this curve.

Synchrotron SAXS data from solutions of Heparin oligosaccharide DP12 in 50 mM Tris/HCl, 120 mM CaCl2, pH 7.4 were collected on the BM29 beam line at the ESRF storage ring (Grenoble, France) using a Pilatus3 2M detector at a sample-detector distance of 2 m and at a wavelength of λ = 0.1 nm (I(s) vs s, where s = 4πsinθ/λ, and 2θ is the scattering angle). One solute concentration of 5.00 mg/ml was measured at 20°C. 10 successive 0.500 second frames were collected. The data were normalized to the intensity of the transmitted beam and radially averaged; the scattering of the solvent-blank was subtracted.

Serial dilutions from 5 mg/ml to 1.25 mg/ml were collected with the sample changer. At 120 mM CaCl2 concentration aggregation started to be problematic. These oligosaccharides have been prepared by high resolution gel filtration of partial heparin lyase (Heparinase I) digestion of high quality porcin heparin. General formula* ∆HexA,2S - GlcNS,6S– (IdoUA,2S – GlcNS,6S)n n = number of disaccharide units. *Although the main disaccharide unit in these products is IdoUA,2S – GlcNS,6S, (approx 75%) saccharides in each size class show some variation in degree and pattern of sulphation. Uronic acid (HexA) at the non-reducing end of the oligosaccharides has a C4-C5 double bond as a result of the endolytic action of bacterial heparin lyase.

Heparine oligosaccharide of 12 sugar units (6 disaccharides), digested by Heparinase I from purified HP glycosaminoglycan (DP12)
Mol. type   Other
Organism   Sus scrofa domesticus
Olig. state   Monomer
Mon. MW   3.9 kDa
Chemical formula