Curated repository for small angle scattering data and models


SASBDB currently contains:


4973

experimental data sets

6188

models
523 experimental data sets on hold
714 models on hold

Small angle scattering (SAS) of X-ray and neutrons provides structural information on biological macromolecules in solution at a resolution of 1-2 nm.
SASBDB is a fully searchable curated repository of freely accessible and downloadable experimental data, which are deposited together with the relevant experimental conditions, sample details, derived models and their fits to the data.

Recent depositions:

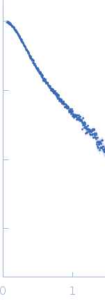
SASDRZ4 – K214/R260 mutant of Rabies virus CVS Phosphoprotein Isoform 3 (KRm CVS P3)

Phosphoprotein (Isoform P3; K214A, R260A, D289N, C297S) experimental SAS data
EOM/RANCH model
Sample: Phosphoprotein (Isoform P3; K214A, R260A, D289N, C297S) dimer, 55 kDa Rabies virus (strain … protein
Buffer: 25 mM HEPES, 150 mM NaCl, 1 mM TCEP, pH: 7.4
Experiment: SAXS data collected at SAXS/WAXS, Australian Synchrotron on 2021 Mar 7
Conformational dynamics, RNA binding, and phase separation regulate the multifunctionality of rabies virus P protein. Nat Commun 16(1):9491 (2025)
Rawlinson SM, Chakraborty S, Sethi A, David CT, Harrison AR, Bird LE, Rozario AM, Uthishtran S, Ardipradja K, Zhao T, Oksayan S, Jans DA, Ang CS, Lu ZH, Yan F, Williamson NA, Arumugam S, Sundaramoorthy V, Bell TDM, Gooley PR, Moseley GW
RgGuinier 4.6 nm
Dmax 22.5 nm
VolumePorod 180 nm3

Browse the contents according to:

Organism
Macromolecule type
Model type
Dissemination type
To cite SASBDB refer to: Kikhney AG, Borges CR, Molodenskiy DS, Jeffries CM, Svergun DI (2020) SASBDB: Towards an automatically curated and validated repository for biological scattering data. Protein Science 29(1); 66-75.