Structure of the chromoprotein ovorubin from the golden apple snail ( Pomacea canaliculata )

Wilasluck P, Saw W, Tran B, Sabat G, Shih O, Hengphasatporn K, Shigeta Y, Vinayavekhin N, Wangkanont K, Protein Science 35(1) (2025) DOI

SASDX24 – Ovorubin from the golden apple snail (Pomacea canaliculata)

Perivitellin ovorubin-1
Perivitellin ovorubin-2
Uncharacterized protein (ovorubin-3, short)
Perivitellin protein (ovorubin-4, form 1)
Uncharacterized protein (ovorubin-5)
MWexperimental 234 kDa
MWexpected 205 kDa
VPorod 400 nm3
log I(s) 7.76×10-1 7.76×10-2 7.76×10-3 7.76×10-4
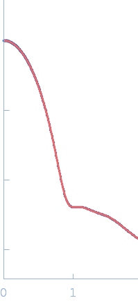
Perivitellin ovorubin-1 Perivitellin ovorubin-2 Uncharacterized protein (ovorubin-3, short) Perivitellin protein (ovorubin-4, form 1) Uncharacterized protein (ovorubin-5) small angle scattering data  s, nm-1
ln I(s)
Perivitellin ovorubin-1 Perivitellin ovorubin-2 Uncharacterized protein (ovorubin-3, short) Perivitellin protein (ovorubin-4, form 1) Uncharacterized protein (ovorubin-5) Guinier plot ln 7.77×10-1 Rg: 4.1 nm 0 (4.1 nm)-2 s2
(sRg)2I(s)/I(0)
Perivitellin ovorubin-1 Perivitellin ovorubin-2 Uncharacterized protein (ovorubin-3, short) Perivitellin protein (ovorubin-4, form 1) Uncharacterized protein (ovorubin-5) Kratky plot 1.104 0 3 sRg
p(r)
Perivitellin ovorubin-1 Perivitellin ovorubin-2 Uncharacterized protein (ovorubin-3, short) Perivitellin protein (ovorubin-4, form 1) Uncharacterized protein (ovorubin-5) pair distance distribution function Rg: 4.1 nm 0 Dmax: 12.4 nm

Data validation


Fits and models


log I(s)
 s, nm-1
Perivitellin ovorubin-1 Perivitellin ovorubin-2 Uncharacterized protein (ovorubin-3, short) Perivitellin protein (ovorubin-4, form 1) Uncharacterized protein (ovorubin-5) PHENIX model

log I(s)
 s, nm-1
Perivitellin ovorubin-1 Perivitellin ovorubin-2 Uncharacterized protein (ovorubin-3, short) Perivitellin protein (ovorubin-4, form 1) Uncharacterized protein (ovorubin-5) DAMMIN model

Synchrotron SAXS data from solutions of ovorubin from the golden apple snail in 20 mM Tris, 150 mM NaCl, pH 7 were collected on the TPS13A beam line at the NSRRC (Hsinchu, Taiwan) using a Eiger X 1M & 9M detector at a sample-detector distances of 0.75 m and 5.5 m and at a wavelength of λ = 0.082656 nm (I(s) vs s, where s = 4πsinθ/λ, and 2θ is the scattering angle). In-line size-exclusion chromatography (SEC) SAS was employed. The SEC parameters were as follows: A 50.00 μl sample at 10 mg/ml was injected at a 0.35 ml/min flow rate onto a Agilent Bio SEC-3, 300 Å column at 25°C. Five successive 2 second frames were collected. The data were normalized to the intensity of the transmitted beam and radially averaged; the scattering of the solvent-blank was subtracted.

Perivitellin ovorubin-1 (PcOvo1)
Mol. type   Protein
Organism   Pomacea canaliculata
Olig. state   Dimer
Mon. MW   20.4 kDa
 
UniProt   J7I2T6 (20-200)
Sequence   FASTA
 
Perivitellin ovorubin-2 (PcOvo2)
Mol. type   Protein
Organism   Pomacea canaliculata
Olig. state   Dimer
Mon. MW   21.2 kDa
 
UniProt   J7HZ90 (26-210)
Sequence   FASTA
 
Uncharacterized protein (ovorubin-3, short) (PcOvo3s)
Mol. type   Protein
Organism   Pomacea canaliculata
Olig. state   Dimer
Mon. MW   20.1 kDa
 
UniProt   A0A2T7NVP5 (21-194)
Sequence   FASTA
 
Perivitellin protein (ovorubin-4, form 1) (PcOvo4-1)
Mol. type   Protein
Organism   Pomacea canaliculata
Olig. state   Dimer
Mon. MW   20.1 kDa
 
UniProt   A0A2T7NVP6 (24-203)
Sequence   FASTA
 
Uncharacterized protein (ovorubin-5) (PcOvo5)
Mol. type   Protein
Organism   Pomacea canaliculata
Olig. state   Dimer
Mon. MW   20.7 kDa
 
UniProt   A0A2T7NVP5 (419-602)
Sequence   FASTA