An intrinsically disordered region mediates RNA-binding selectivity and cellular activities of LARP6.

Capraro F, Abis G, Incocciati A, Simpson PJ, Karimzadeh M, Masino L, Barley A, Bui TTT, Kelly G, Goodarzi H, Conte MR, Mardakheh FK, Nat Commun (2026) Europe PMC

SASDY26 – La-related protein 6 (LARP6) N-terminal domain (NTD) bound to CTNNA1 P1 RNA, a fragment of the 3'-untranslated region of catenin alpha 1

La-related protein 6
3'-untranslated region of catenin alpha 1 mRNA
MWexperimental 48 kDa
MWexpected 50 kDa
VPorod 138 nm3
log I(s) 6.58×10-2 6.58×10-3 6.58×10-4 6.58×10-5
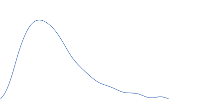
La-related protein 6 3'-untranslated region of catenin alpha 1 mRNA small angle scattering data  s, nm-1
ln I(s)
La-related protein 6 3'-untranslated region of catenin alpha 1 mRNA Guinier plot ln 6.59×10-2 Rg: 3.7 nm 0 (3.7 nm)-2 s2
(sRg)2I(s)/I(0)
La-related protein 6 3'-untranslated region of catenin alpha 1 mRNA Kratky plot 1.104 0 3 sRg
p(r)
La-related protein 6 3'-untranslated region of catenin alpha 1 mRNA pair distance distribution function Rg: 4.0 nm 0 Dmax: 15.3 nm

Data validation


There are no models related to this curve.

Synchrotron SAXS data from solutions of La-related protein 6 (LARP6) N-terminal domain (NTD) bound to CTNNA1 P1 RNA, a fragment of the 3'-untranslated region of catenin alpha 1 in 25 mM Tris-HCl, 100 mM KCl, 5 mM MgCl2, 1 mM DTT, pH 7.5 were collected on the B21 beam line at the Diamond Light Source storage ring (Didcot, UK) using a Eiger 4M detector at a sample-detector distance of 3.7 m and at a wavelength of λ = 0.09537 nm (I(s) vs s, where s = 4πsinθ/λ, and 2θ is the scattering angle). Solute concentrations ranging between 3.5 and 4.5 mg/ml were measured at 15°C. 600 successive 0.350 second frames were collected. The data were normalized to the intensity of the transmitted beam and radially averaged; the scattering of the solvent-blank was subtracted. The low angle data collected at lower concentration were merged with the highest concentration high angle data to yield the final composite scattering curve.

LARP6 NTD, comprising the N-terminal disordered tail (NTR) and the structured La-motif and RNA-recognition motif (theoretical molecular weight 33.9 kDa), in bound state to a 25-mer from the 3'-untranslated region of catenin alpha 1 mRNA (sequence 5' CUAAAUACAACACUGAUACUAGAUU 3'; theoretical molecular weight 7.92 kDa). Experimental molecular weight was estimated by SEC-MALLS.

La-related protein 6 (LARP6)
Mol. type   Protein
Organism   Homo sapiens
Olig. state   Monomer
Mon. MW   41.8 kDa
 
UniProt   Q9BRS8 (1-300)
Sequence   FASTA
 
3'-untranslated region of catenin alpha 1 mRNA (CTNNA1)
Mol. type   RNA
Olig. state   Other
Mon. MW   7.9 kDa
Sequence   FASTA